大家好!今天我们来聊聊霍尔特双重指数平滑(Holt's Double Exponential Smoothing)这个指标。虽然名字听起来有点复杂,但它其实主要用于预测,而不是单纯的平均值计算。通常我们会用线性预测法来结合使用这个方法。
- 双重指数平滑
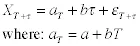
与回归预测类似,双重指数平滑的预测基于一个假设模型,这个模型由一个常数和一个线性趋势组成。


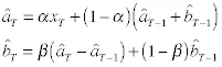
在时间T时,常数项a和趋势项b的估算基于时间T的观察值,以及前一个周期T-1的估算。

未来周期的预期值预测是常数项加上一个线性项,这个线性项取决于未来的周期数。

不过,要让这个指标既可以用作平均值,也可以用作预测,只需将预测的柱数设置为<= 0,这样就可以关闭预测部分。
和往常一样,建议不要在信号模式下使用预测部分。预测部分是变化的,应该仅用作双重平滑的趋势成分的估计,而不是作为信号。这款指标的警报并不是在报警预测部分的变化,而是“过去”部分的变化——这种变化是不会随着时间的推移而改变的。
