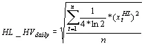
안녕하세요, 트레이더 여러분! 오늘은 파킨슨 지수에 대해 이야기해보려고 합니다. 파킨슨 지수는 1980년 물리학자 마이클 파킨슨이 개발한 고저 범위 변동성을 측정하는 지표로, 특정 기간 동안의 고가와 저가를 사용해 랜덤워크의 수익 변동성을 추정하는 데 도움을 줍니다. IVolatility.com에서는 매일 파킨슨 값을 계산하고 있습니다. 가격은 고정된 시간 간격(예: 10일, 20일, 30일, 60일, 90일, 120일, 150일, 180일)으로 관찰됩니다.
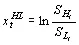
- SH: t일의 주식 고가
- SL: t일의 주식 저가
- 고가/저가 수익 (xtHL): 주식의 고가와 저가 비율의 자연 로그로 계산됩니다.
- 수익 계산식:

- 파킨슨 지수 계산식:

파킨슨 지수의 중요한 사용 중 하나는 하루 동안의 가격 분포를 평가하고 시장의 동향을 더 잘 이해하는 데 있습니다. 파킨슨 지수와 주기적으로 샘플링된 변동성을 비교하면, 트레이더들은 시장의 평균 회귀 경향과 손절매 분포를 이해하는 데 큰 도움이 됩니다.
