안녕하세요, 트레이더 여러분! 오늘은 메타트레이더 5에서 사용할 수 있는 파생상품 지표에 대해 이야기해보려 합니다. 이 지표는 가격의 변화를 분석하는데 유용한 도구입니다.

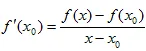
여기서:
- x0 — 현재 인수의 값
- x — 차트 오른쪽의 인수 값
- f(x0) — x0에서의 함수 값
- f(x) — x에서의 함수 값
수학적으로 파생상품의 값은 위의 간단한 공식을 통해 계산됩니다. 원래 정의에서는 x와 x0의 차이가 무한소로 설정되어 함수의 극한을 사용합니다. 공식을 사용하면 직접 미분하지 않고도 함수 값을 기반으로 파생상품의 근사값을 계산할 수 있습니다.
가격 차트와 관련해서 x0는 현재의 바(bar)를 의미하고, x는 이후에 형성될 바입니다. 따라서 f(x0)는 현재 바의 가격 값이고, f(x)는 다음 바의 가격 값입니다. 여기서 (1) 공식에는 두 개의 미지수가 존재하는데, f(x0)와 f(x)가 그것입니다. 이 두 미지수를 포함하는 추가적인 식이 없기 때문에 (1)의 해는 존재하지 않습니다.
파생상품 f'(x0)을 찾으려면, 현재 바의 왼쪽에 있는 지점을 x0로 설정하고 현재 바를 x로 지정해야 합니다. 이렇게 하면 f(x0)와 f(x)가 차트에서 확인 가능한 가격 값으로 확정됩니다.
트레이더에게 이미 알려진 영역의 값을 기반으로 한 계산된 값은 가격의 상승이나 하락을 판단하는 데 유용합니다. 이 경우 유용한 정보는 파생상품의 값 자체가 아니라 인접한 바에서의 두 값의 비교입니다. 계산된 값의 부호가 다르면 가격이 극값을 지나쳤다는 것을 알 수 있습니다. 부호가 음수에서 양수로 전환되면 최소값, 양수에서 음수로 전환되면 최대값입니다.
이와 같은 파생상품 계산 원리는 파생상품 지표에서 구현됩니다. 이 지표는 조사된 바와 '지연' 매개변수에 의해 설정된 바와의 가격 차이를 표시합니다.
지표 사용 방법은 간단합니다: 선이 아래에서 0 레벨을 교차하면 매수, 위에서 교차하면 매도 신호입니다.
이 지표는 원래 MQL4로 작성되었으며, 2015년 9월 9일에 mql5.com의 코드 베이스에 처음 게시되었습니다.

그림 1. 파생상품 지표